छत्तीसगढ़प्रमुख खबरें
छत्तीसगढ़ पुलिस ट्रांसफर: 4 ASI, 12 हेड कांस्टेबल और 53 कांस्टेबल का तबादला

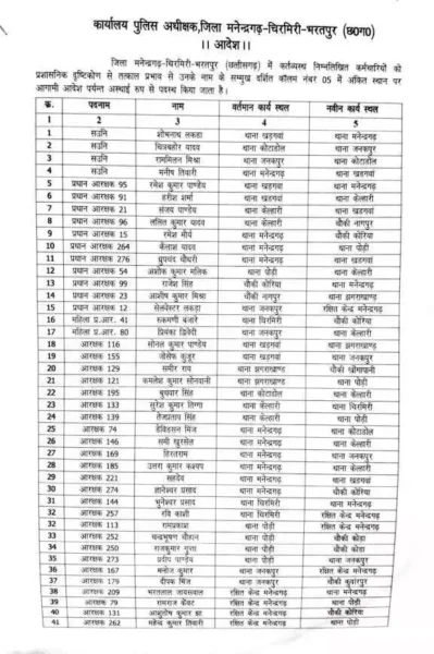
छत्तीसगढ़ के मनेन्द्रगढ़-चिरमिरी-भरतपुर जिले में पुलिस विभाग में बड़े पैमाने पर तबादले किए गए हैं। जारी सूची के अनुसार कुल 69 पुलिसकर्मियों का स्थानांतरण हुआ है, जिनमें 4 एएसआई, 12 हेड कांस्टेबल और 53 कांस्टेबल शामिल हैं।
Thank you for reading this post, don't forget to subscribe!जिले की पुलिस अधीक्षक रत्ना सिंह ने सभी स्थानांतरित अधिकारियों और कर्मचारियों को निर्देश दिया है कि वे अपने नए पदस्थापना स्थल पर बिना देरी के तत्काल कार्यभार ग्रहण करें। इस तबादले को प्रशासनिक व्यवस्था को बेहतर बनाने की दिशा में अहम कदम माना जा रहा है।





